Cómo resolver el problema de la detección de temperatura de - 55 a 200C fácilmente mediante el sensor de temperatura IC
Desde la llegada de los circuitos integrados, los sensores de temperatura IC han sido parte del diseño del dispositivo. Los diseñadores han tratado de reducir los efectos de la temperatura en el sistema de chips, y los sensores de temperatura integrados han resuelto fácilmente la mayoría de los problemas en el rango de temperatura de -55 a 200 ºC. La última generación de sensores de temperatura puede lograr una precisión de ± 0.4 ̊C en un paquete de 0.76 mm2.
Desde que ingresó a la era del diseño de IC, los sensores de temperatura de circuito integrado (IC) se han convertido sin darse cuenta en parte del diseño del dispositivo. Los diseñadores de circuitos integrados han experimentado giros y vueltas tratando de minimizar los efectos de la temperatura en el sistema de chips. El circuito pico dio vuelta, un diseñador de circuitos integrados de repente tuvo una idea maravillosa: ¿Por qué no explotar activamente el comportamiento de la temperatura de las uniones p-n del circuito activo, en lugar de limitarse a estallar su cerebro para minimizar sus efectos? Y las funciones digitales integradas en el mismo diseñador de chips son el agujero del cerebro abierto de par en par, es el nacimiento del sensor de temperatura actual IC. El sensor de temperatura integrado resuelve fácilmente la mayoría de los desafíos de detección de temperatura en el rango de temperatura de -55 a 200 ̊C.
Entrada
La entrada al sensor de temperatura IC es la temperatura ambiente. En otras palabras, la temperatura ambiente alrededor del paquete cambia el comportamiento del transistor interno (Figura 1).
Figura 1: Este circuito conceptual muestra cómo un transistor compatible detecta la temperatura.
El diseño de detección de temperatura elimina los efectos de la corriente de saturación del transistor (IS) a través de configuraciones y cálculos inteligentes. La corriente de saturación se controla fácilmente utilizando una fuente de corriente constante (IC) y un interruptor entre el transistor y la matriz de transistores equivalente.
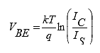
En la Figura 1, vemos cómo la diferencia entre VBE y VBE (N) corresponde fácilmente a los cambios de temperatura. fórmula
(1) muestra el valor de la tensión del emisor base del transistor VBE.

Fórmula 1)
entre ellos:
k es una constante de Boltzmann igual a 1.38 × 10-23 J / K;
q es igual a 1.6021765 × 10-19C;
T es la temperatura en K.
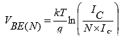
La ecuación (2) muestra el valor VBE (N) del emisor base de muchos transistores paralelos.

Fórmula (2)
Si la fuente de corriente IC se cambia de un pin a otro, la ecuación (3) muestra la diferencia entre los dos voltajes del emisor base.

Fórmula (3)
A través del cálculo, se concluye que:
CONSTANTE = k × ln (N) / q o 86.25 × 10-6 × ln (N).
Conceptualmente, le permite saber cómo medir la temperatura rápidamente en el nivel IC. Se han realizado algunas mejoras en el circuito de la Figura 1, con una precisión de detección de temperatura IC tan alta como ± 0.4oC.
Salida
Ahora que tenemos lecturas precisas de temperatura, es importante presentar este valor final al mundo exterior. Hay dos formas básicas de mostrar datos de temperatura:
Tensión analógica o valores digitales.
La salida de voltaje analógica es muy fácil de leer. Con el dispositivo de detección de temperatura apropiado, puede capturar una señal analógica y convertirla en una representación digital o retroalimentarla a un punto del circuito.
La capacidad de salida digital del sensor de temperatura es más interesante, con muchos tipos de salida disponibles, pero principalmente salidas de 1, 2 o 3 hilos.
La salida digital de 1 cable proporciona señales de conteo de pulsos modulados por ancho de pulso (PWM) o simples señales de umbral / interruptor. Ambas señales son útiles en los circuitos de control del ventilador. La salida digital de 2 hilos proporciona una señal I2C o SMBus. El resultado digital es un subproducto del convertidor analógico a digital interno. También puede ver salidas digitales que representan temperaturas umbral y posibles condiciones de error. La salida digital de 3 hilos proporciona una interfaz SPI.
Embalaje a nivel de oblea de dispositivos sensores de temperatura
Cada producto tiene un proceso de desarrollo de tosco a fino, y la serie de sensores de temperatura mejora constantemente. A continuación, esta línea de productos tendrá un gran avance en el tamaño del paquete del dispositivo. Las últimas carcasas de sensores de temperatura están empaquetadas en un paquete de nivel de oblea (WLP).
En 1998, Sandia National Laboratories y Fujitsu desarrollaron WLP. El paquete ha sido fabricado a nivel de oblea antes del proceso de corte y su montaje se realiza utilizando la tecnología estándar de montaje en superficie (SMT).
Esta tecnología de embalaje ofrece una forma de paquete ultrapequeña y bajos valores de entorno de unión θ. El tamaño de esta generación de sensores de temperatura eclipsa el capacitor estándar de 0.1μF en un paquete estándar 0603 (Figura 2).
Figura 2: El sensor de temperatura WLP (U1 / MAX31875) es más pequeño que el capacitor de 0.1μF (C1) del SMT.
En la mesa
Debido a que el nuevo paquete es pequeño, puede colocar el sensor de temperatura en el PCB como lo haría con sal y pimienta en la cena. La última generación de sensores de temperatura logra una precisión de ± 0.4oC en un paquete que ocupa solo 0.76mm2 de área de PCB.
Desde que ingresó a la era del diseño de IC, los sensores de temperatura de circuito integrado (IC) se han convertido sin darse cuenta en parte del diseño del dispositivo. Los diseñadores de circuitos integrados han experimentado giros y vueltas tratando de minimizar los efectos de la temperatura en el sistema de chips. El circuito pico dio vuelta, un diseñador de circuitos integrados de repente tuvo una idea maravillosa: ¿Por qué no explotar activamente el comportamiento de la temperatura de las uniones p-n del circuito activo, en lugar de limitarse a estallar su cerebro para minimizar sus efectos? Y las funciones digitales integradas en el mismo diseñador de chips son el agujero del cerebro abierto de par en par, es el nacimiento del sensor de temperatura actual IC. El sensor de temperatura integrado resuelve fácilmente la mayoría de los desafíos de detección de temperatura en el rango de temperatura de -55 a 200 ̊C.
Entrada
La entrada al sensor de temperatura IC es la temperatura ambiente. En otras palabras, la temperatura ambiente alrededor del paquete cambia el comportamiento del transistor interno (Figura 1).

Figura 1: Este circuito conceptual muestra cómo un transistor compatible detecta la temperatura.
El diseño de detección de temperatura elimina los efectos de la corriente de saturación del transistor (IS) a través de configuraciones y cálculos inteligentes. La corriente de saturación se controla fácilmente utilizando una fuente de corriente constante (IC) y un interruptor entre el transistor y la matriz de transistores equivalente.
En la Figura 1, vemos cómo la diferencia entre VBE y VBE (N) corresponde fácilmente a los cambios de temperatura. fórmula
(1) muestra el valor de la tensión del emisor base del transistor VBE.

Fórmula 1)
entre ellos:
k es una constante de Boltzmann igual a 1.38 × 10-23 J / K;
q es igual a 1.6021765 × 10-19C;
T es la temperatura en K.
La ecuación (2) muestra el valor VBE (N) del emisor base de muchos transistores paralelos.

Fórmula (2)
Si la fuente de corriente IC se cambia de un pin a otro, la ecuación (3) muestra la diferencia entre los dos voltajes del emisor base.

Fórmula (3)
A través del cálculo, se concluye que:
CONSTANTE = k × ln (N) / q o 86.25 × 10-6 × ln (N).
Conceptualmente, le permite saber cómo medir la temperatura rápidamente en el nivel IC. Se han realizado algunas mejoras en el circuito de la Figura 1, con una precisión de detección de temperatura IC tan alta como ± 0.4oC.
Salida
Ahora que tenemos lecturas precisas de temperatura, es importante presentar este valor final al mundo exterior. Hay dos formas básicas de mostrar datos de temperatura:
Tensión analógica o valores digitales.
La salida de voltaje analógica es muy fácil de leer. Con el dispositivo de detección de temperatura apropiado, puede capturar una señal analógica y convertirla en una representación digital o retroalimentarla a un punto del circuito.
La capacidad de salida digital del sensor de temperatura es más interesante, con muchos tipos de salida disponibles, pero principalmente salidas de 1, 2 o 3 hilos.
La salida digital de 1 cable proporciona señales de conteo de pulsos modulados por ancho de pulso (PWM) o simples señales de umbral / interruptor. Ambas señales son útiles en los circuitos de control del ventilador. La salida digital de 2 hilos proporciona una señal I2C o SMBus. El resultado digital es un subproducto del convertidor analógico a digital interno. También puede ver salidas digitales que representan temperaturas umbral y posibles condiciones de error. La salida digital de 3 hilos proporciona una interfaz SPI.
Embalaje a nivel de oblea de dispositivos sensores de temperatura
Cada producto tiene un proceso de desarrollo de tosco a fino, y la serie de sensores de temperatura mejora constantemente. A continuación, esta línea de productos tendrá un gran avance en el tamaño del paquete del dispositivo. Las últimas carcasas de sensores de temperatura están empaquetadas en un paquete de nivel de oblea (WLP).
En 1998, Sandia National Laboratories y Fujitsu desarrollaron WLP. El paquete ha sido fabricado a nivel de oblea antes del proceso de corte y su montaje se realiza utilizando la tecnología estándar de montaje en superficie (SMT).
Esta tecnología de embalaje ofrece una forma de paquete ultrapequeña y bajos valores de entorno de unión θ. El tamaño de esta generación de sensores de temperatura eclipsa el capacitor estándar de 0.1μF en un paquete estándar 0603 (Figura 2).

En la mesa
Debido a que el nuevo paquete es pequeño, puede colocar el sensor de temperatura en el PCB como lo haría con sal y pimienta en la cena. La última generación de sensores de temperatura logra una precisión de ± 0.4oC en un paquete que ocupa solo 0.76mm2 de área de PCB.





